We know from the information given that Karen's income elasticity is not only positive but greater than one, meaning that wine is a luxury good for her. As her income increases her expenditures on wine increase at a greater rate.

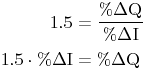
   Specifically, we know that = 1.5 or %Q = 1.5 x %I (where I is income). An increase in income (of some percentage amount) leads to an increase in wine purchase that is 1.5 times larger, in percentage terms.

   Recall, we are using the simple version of income elasticity. We can compute the answer as follows. (Hint, on this type of test question it's probably better to compute the answer before you even look at the choices given. Otherwise, it's easy to mistakenly mark an answer that looks right, but is not.)

   Karen's income rose from $50,000 to $55,000; an increase of 10%. From the formula above, we know this means that her consumption of wine will increase by 15% or will be 1.15 times greater than before. Since she was originally consuming 500 bottles, she will now purchase 500 x 1.5 = 575 bottles.

4. Karen's income elasticity of demand for bottles of her favorite wine is 1.5. Currently, her income is equal to $50,000 and she normally buys 500 bottles per year (Unless Karen entertains a lot, she has a problem). If her income increases to $55,000 how many bottles of her favorite wine will she buy per year?

  1. 425 This would only be correct if the good were inferior, meaning that her income elasticity would have been negative.
  2. 550 This is a tempting answer since it's a 10% increase in consumption, the same percentage increase as her income, however her income elasticity would have had to be exactly 1 for this to be correct.
  3. 575 As shown above, the correct answer.
  4. 515 This represents only a 3% increase in consumption. Her income elasticity would have had to be 1/3 for this to be correct; making wine a necessity not a luxury, and as far as we known Karen isn't French ;-).
  5. 675 This is a very large increase, 35% from the initial 500 bottles.
Copyright © 1995-2004 OnLineTexts.com, Inc. - All Rights Reserved